微信二维码
产品介绍
Product Show
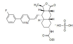
硫酸沃拉帕沙

所属分类:原料药
..........................................................................................................................................................................................................................................

中文名:硫酸沃拉帕沙

别名:N/A

英文名称:Vorapaxar Sulfate

CAS 号:705260-08-8

产品外观:白色粉末

纯度:大于99.0%

符合标准:企业标准

结构式:

注:本产品属于化工类产品,仅限用于新药研发、工艺研究、化工中间体再加工等用途。