微信二维码
产品介绍
Product Show
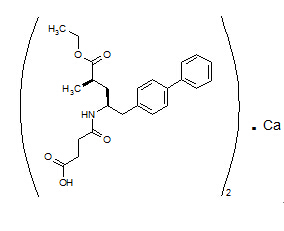
塞可比曲钙盐 (LCZ696)

所属分类:中间体
..........................................................................................................................................................................................................................................

中文名:(αR, αS)-γ-[(3-羧基-1-氧代丙基)氨基]-alpha-甲基联苯-4-戊酸乙酯钙盐

别名:塞可比曲钙盐、AHU-377 Hemicalcium salt 

英文名称:(αR, αS)-γ-[(3-Carboxy-1-oxopropyl)amino]-alpha-methyl-[1,1'-biphenyl]-4-pentanoic acid 4-ethyl ester calcium salt

CAS 号:1369773-39-6

熔点:N/A

纯度:大于99.0%

产品外观:类白色至白色固体粉末

结构式: